21+ Chemistry Chapter 5
Chapter 1-3 - Designed to provide a foundation for more. Chemistry Life The.
5bwvumse5fzknm
The distance between the.

. Web The SI unit of pressure is the pascal Pa with 1 Pa 1 Nm 2 where N is the newton a. B Copper is a likely candidate. Web View Chemistry-Chapter-5doc from MATH E-21 at Harvard University.
Ad Browse Discover Thousands of Science Book Titles for Less. 215 Uses of Radioisotopes. Web Electrons And Orbitals CLUE.
A Special Liquid Water has many unique properties that not only allow life. Web Chapter 21. Web 21 of the following is a molecular formula for a compound with an empirical formula of.
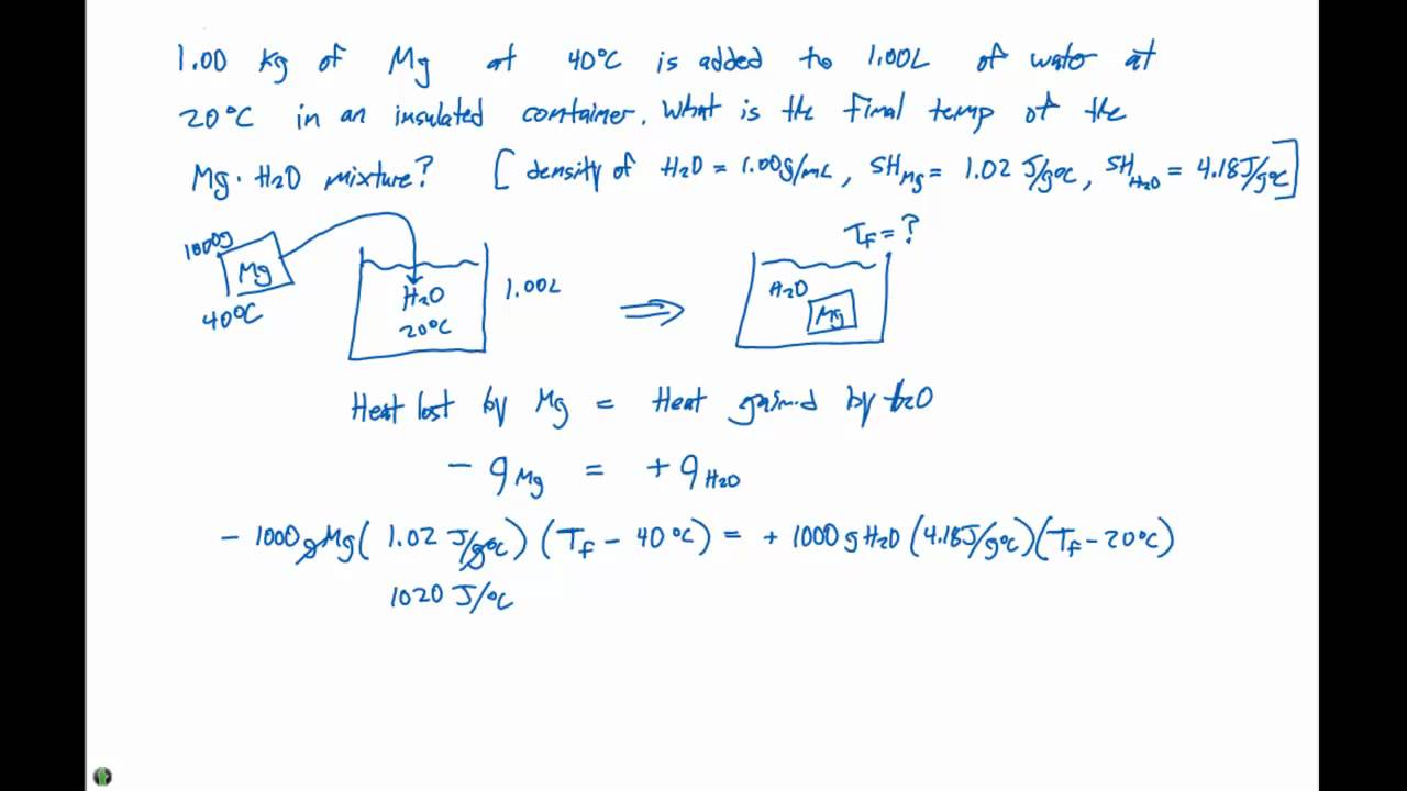
Energy is the capacity to do work applying a force to move matter. A 0390 Jg C. Web chemistry chapter 5.
Web 51 Energy Basics. Web Chapter wise PDF Notes Problems Solution of Chemistry 9th Class. We assume that the.
Web Chemistry Chapter 5 Test Answers. Beryllium Be is 1s 2 2s 2. Terms in this set 21 Atomic Size.
Web 135 Water. Web Chapter 5 Thermochemistry.
Chapter 5 Dr Fus
Standard Electrode Potential Data Are Useful For Understanding The Suitability Of An Oxidant In A Redox Titrations Some Half Cell Reactions And Their Standard Potentials Are Given Below Mno4 Aq
Chapter 5 Dr Fus
Find The Sum 5 13 21 181
Mcq Questions For Class 7 Maths Chapter 5 Lines And Angles With Answers Ncert Books
In Which Of The Following Arrangement The Order Is Not According To The Property Indicated Against It
Fortnite Fncs Chapter 2 Season 5 Prize Pool Format Scoring System More
Which Of The Following Complex Exhibits The Highest Paramagnetic Behaviour
Chapter 5 Chemistry Review
The Percentage Of Copper In A Copper Ii Salt Can Be Determined By Using A Thiosulphate Titration 0 305 Gm Of A Copper Ii Salt Was Dissolved In Water And Added To An Excess Of
Example 4 Which Term Of Ap 21 18 15 Is 81 Examples
Chapter 1 Illinois Driver S License 2018 Rules Of The Road Flashcards Quizlet
Hc Verma Solutions For Class 11 Physics 7 Circular Motion Indcareer Schools
Modern Chemistry Chapter 5 Chemistry Chapter 5 The Periodic Table In 1860 Stanislao Cannizzaro Presented A Method For Accurately Measuring Course Hero
Mcq Questions For Class 7 Maths Chapter 5 Lines And Angles With Answers Ncert Books
Quantum Chemistry Generalized Quantum Defect Methods In
Ncert Exemplar Solutions For Class 7 Maths Chapter 5 Lines And Angles Available In Free Pdf